Entenda e realize o Cálculo de Valor Presente (ou Valor Atual) de Danos Materiais de maneira rápida e confiável.
Esta ferramenta é essencial para a liquidação de sentenças que deferem o pagamento de pensão mensal ou indenizações com parcelas vincendas (futuras), permitindo a conversão em parcela única. O objetivo é encontrar o valor atual que, aplicado financeiramente a uma taxa de juros mensal, alcançaria o montante total futuro.
O cálculo é baseado nos seguintes critérios:
-
Período Total: Calculado com base na data de nascimento, data de início do pensionamento e idade final do beneficiário.
-
Verbas Acessórias: Permite a inclusão dos 13º Salários e Terços Constitucionais de Férias no cálculo total, se houver deferimento no título.
-
Valor Base: Utiliza a última remuneração e o percentual deferido para determinar o valor do pensionamento mensal.
-
Critérios Avançados: Considera, opcionalmente, a fração dos meses inicial e final para máxima precisão.
Utilize a calculadora abaixo para converter sua pensão mensal em parcela única:
Cálculo do Valor Presente
Resultado do Cálculo
| Descrição | Valor |
|---|---|
| Data inicial | |
| Data final | |
| Meses base | |
| Meses para 13º Salários | |
| Meses para 1/3 de Férias | |
| Considerar fração do mês | |
| Total de meses | |
| Valor mensal | R$ |
| Taxa de juros | % |
| Valor presente (Parcela Única) | R$ |
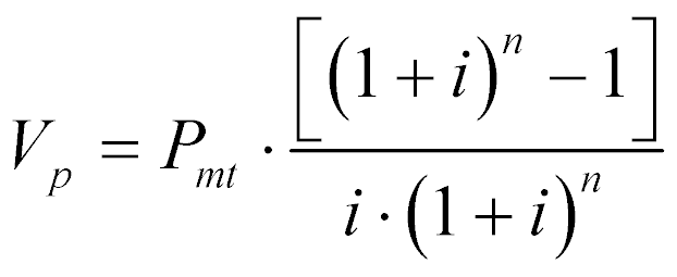
Fórmula Aplicada

Vp = Valor presente da indenização, Pmt = Valor da pensão mensal deferida,
i = Taxa de juros mensal, n = Período total em meses
O valor presente ( Vp ) é o montante que, se aplicado hoje a uma taxa de juros ( i ), geraria os mesmos pagamentos futuros da pensão. É como calcular quanto dinheiro deve ser depositado agora para substituir os depósitos mensais futuros.